分子式:C21H15ClNO4PSNa2 分子量:489.82
产品简介:
APS-5是一种基于9,10-二氢吖啶的化学发光底物,它主要用于ELISA检测带有碱性磷酸酶AP共轭的化合物;APS-5结构中的9,10-二氢吖啶结构在AP的作用下可以持续稳定高效地发光, APS-5非常适合于磷酸酶活性溶液测定法和磷酸酶联免疫测定。
物理性状及指标:
外观:……………………白色粉末
溶解性:………………… 本品在水中易溶,20mg/ml
含量:……………………≥99%
发射波长(Em): ………化学发光430nm
储存条件:-20℃,避光防潮密闭干燥
用途及描述:
APS-5是一种新型化学发光底物,已经作为发光探针被用于基因芯片的研究中,其在均相碱性磷酸酶检测中的应用表现出超高的灵敏度,(可以检测到小于10-19mol的碱性磷酸酶),能迅速达到峰值以减少检测时间,增加通过量。APS-5采用了独特的技术,在化学发光检测过程中,为碱性磷酸酶偶联提供优越的灵敏度和易用性。是溶液分析法测定磷酸酶活性和磷酸酶酶联免疫检测非常理想的解决方案。
应用领域包括:碱性磷酸酶发光检测、ELISA化学发光检测、WB化学发光检测、其他酶联化学发光反应检测
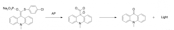
反应机理:

APS-5具有如下优点:
1.高灵敏度:可以检测到5pg以下的蛋白标记物;
2.发光强度高:平台期短,3-5S可以达到发光峰值;
3.持续稳定发光:其发光过程在25-35℃内不受温度影响,不需温度控制。
4.信噪比高。
我司所售出产品仅供于科研研究用途(非临床科研研究),每次销售产品行为都适用于我司网上所列明的。
CAS 号:193884-53-6
英文名字:Lumigen APS 5
质量标准:≥99%